1. 工作负荷计算公式
当已知弹簧的自由长度、刚度及初始拉力时,某一工作长度下的负荷可按以下公式计算:
P:负荷(磅)
R:弹簧刚度(磅/英寸)
F:相对于自由长度的变形量(英寸)
I.T.:初始拉力(磅)
示例:
已知自由长度为 1.000 英寸,刚度为 6.9 磅/英寸,初始拉力为 0.7 磅,求工作长度为 1.500 英寸时的负荷。
弹簧刚度是指使弹簧产生单位变形所需的负荷,可通过以下步骤测定:
将弹簧压缩至约为最大变形量的 20%(最大变形量 = 自由长度 - 压并高度),测量此时负荷 P1及弹簧长度 L1
继续压缩弹簧,使其变形不超过最大变形量的 80%,测量负荷 P2及弹簧长度 L2
注意:在 L2状态下,除闭合端外,任意两簧圈之间不得接触。
计算刚度 R(磅/英寸):
当已知弹簧的自由长度、刚度及初始拉力时,某一工作长度下的负荷可按以下公式计算:
P=(R×F)+I.T.
其中:P:负荷(磅)
R:弹簧刚度(磅/英寸)
F:相对于自由长度的变形量(英寸)
I.T.:初始拉力(磅)
示例:
已知自由长度为 1.000 英寸,刚度为 6.9 磅/英寸,初始拉力为 0.7 磅,求工作长度为 1.500 英寸时的负荷。
P=[6.9×(1.500−1.000)]+0.7=(6.9×0.500)+0.7=3.45+0.7=4.15 磅
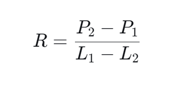
2. 刚度测试与计算方法弹簧刚度是指使弹簧产生单位变形所需的负荷,可通过以下步骤测定:
将弹簧压缩至约为最大变形量的 20%(最大变形量 = 自由长度 - 压并高度),测量此时负荷 P1及弹簧长度 L1
继续压缩弹簧,使其变形不超过最大变形量的 80%,测量负荷 P2及弹簧长度 L2
注意:在 L2状态下,除闭合端外,任意两簧圈之间不得接触。
计算刚度 R(磅/英寸):

敏硕近二十年来始终专注于弹簧与密封的研发创新。公司组建了由博士、高工领衔的研发团队,引进先进生产加工工艺,已为众多国内外知名企业提供可靠的弹簧系统解决方案。我们以“客户第一,质量至上”为宗旨,持续助力中国工业装备提升可靠性、降低综合运营成本。欢迎立即咨询:400 - 008 - 3858,获取专属解决方案! 


